摘 要
本研究以衰老绿萝(Epipremnum aureum)叶片为材料,通过Dual-PAM/F荧光仪同步测定叶绿素荧光和P700⁺吸收信号,发现衰老叶片在照光后稳态荧光(Fs)出现显著低于暗适应初始荧光(Fo)的“超淬灭”现象,且幅度与最大荧光(Fm)相当。对比健康金鱼吊兰(Nematanthus wettsteinii)叶片的荧光动态,结合荧光参数分析表明:衰老绿萝叶片的超淬灭与非光化学猝灭(NPQ)的异常增强、光化学效率(Y(II))的显著下降及受体侧限制(Y(NA))的升高密切相关。机制上,这一现象可能源于衰老过程中光合机构解体引发的高效热耗散机制、状态转换的过度激活、PSⅡ反应中心氧化态(P680⁺)的异常积累,以及叶绿体降解产生的新型淬灭剂作用。本研究为理解叶片衰老过程中光合机构的应激调控提供了新视角。
关键词:叶绿素荧光;超淬灭;植物衰老
Abstract
In this study, using senescent leaves of Epipremnum aureum as materials, chlorophyll fluorescence and P700⁺ absorption signals were simultaneously measured by a Dual-PAM/F fluorometer. It was found that the steady-state fluorescence (Fs) of senescent leaves after illumination showed a "superquenching" phenomenon, which was significantly lower than the dark-adapted initial fluorescence (Fo), with an amplitude comparable to the maximum fluorescence (Fm). By comparing the fluorescence dynamics of healthy leaves of Nematanthus wettsteinii and combining with fluorescence parameter analysis, it was indicated that the superquenching in senescent Epipremnum aureum leaves was closely related to the abnormal enhancement of non-photochemical quenching (NPQ), the significant decrease in photochemical efficiency (Y(II)), and the increase in acceptor-side limitation (Y(NA)). Mechanistically, this phenomenon may result from efficient heat dissipation mechanisms induced by the disintegration of photosynthetic apparatus during senescence, overactivation of state transitions, abnormal accumulation of the oxidized state of PSⅡ reaction centers (P680⁺), and the action of new quenchers produced by chloroplast degradation. This study provides a new perspective for understanding the stress regulation of photosynthetic apparatus during leaf senescence.
Key words: Chlorophyll fluorescence; Super quenching; Plant Senescence
引 言
叶绿素荧光分析是揭示光合机构功能状态的有效工具,其中暗适应初始荧光(Fo)反映PSⅡ反应中心完全开放时的基础荧光,稳态荧光(Fs)则代表光适应下的荧光水平,通常介于Fo与最大荧光(Fm)之间(Schreiber et al., 1998)。近年来,部分研究发现胁迫或衰老叶片中Fs可能低于Fo(Flexas et al., 2002;Belyaeva et al., 2019),但该“超淬灭”现象的机制尚未明确。
叶片衰老伴随叶绿素降解、PSⅡ反应中心损伤及碳同化能力下降(Lim et al., 2007),可能导致过剩光能积累,进而激活非光化学淬灭(NPQ)等保护机制(Demmig-Adams & Adams, 1992)。此前研究表明,衰老叶片的NPQ可能异常增强(Guo et al., 2018),但NPQ是否足以解释Fs远低于Fo的极端现象仍存争议。此外,我们推测光合机构解体可能产生新型淬灭剂(如游离叶绿素或变性蛋白),或PSⅡ反应中心氧化态(P680⁺)的寿命延长,均可能参与超淬灭。
本研究以衰老绿萝叶片为对象,结合健康金鱼吊兰叶片作为对照,通过同步分析叶绿素荧光和P700⁺信号,揭示Fs超淬灭现象的特征及潜在机制,为叶片衰老的光合调控研究提供理论依据。
材料与方法
1. 植物材料与生长条件
选取室内自然光环境中生长的绿萝(Epipremnum aureum)早期衰老叶片(叶片发黄,Fv/Fm≈0.341)和室内靠窗位置生长的金鱼吊兰(Nematanthus wettsteinii)健康叶片(每日受约1000 μmol·m⁻²·s⁻¹光照,Fv/Fm≈0.827)。光照强度由ULM-500手持式PAR辐射仪(Heinz WALZ, GmbH)测定。
2. 叶绿素荧光与P700⁺吸收测量
采用Dual-PAM/F光纤版双通道叶绿素荧光仪(Heinz WALZ, GmbH)同步测量叶绿素荧光与P700⁺吸收信号。叶片暗适应20分钟后进行光诱导与暗驰豫测量。绿萝叶片采用60 μmol·m⁻²·s⁻¹光化光照射,记录荧光动力学曲线并监测暗驰豫;金鱼吊兰叶片采用750 μmol·m⁻²·s⁻¹光化光照射,其余条件相同。通过Dual-PAM软件计算Fo、Fs、Fm、Fv/Fm、Y(II)、qP、NPQ以及P700⁺吸收等参数,并将所有荧光与P700曲线分别以Fo、Fm和Po、Pm归一化处理。
3. 数据处理
采用Microsoft Excel软件进行数据整理和图形绘制。
结果与分析
1. 叶绿素荧光和P700+诱导动力学
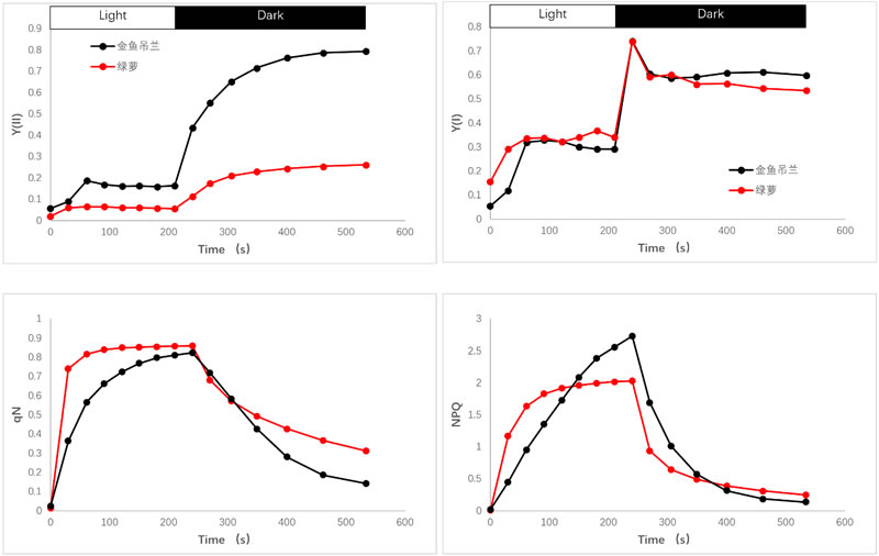
如图1所示,绿萝衰老叶片与金鱼吊兰健康叶片在照光初期的荧光动力学存在较大差异。在绿萝衰老叶片中,照光后Fs快速下降,并显著低于暗适应初始荧光Fo,其最低值约达到归一化后-Fm的水平。暗驰豫过程中,Fs逐渐回升,但在观察时间内仍未恢复至Fo水平。相比之下,金鱼吊兰健康叶片的Fs始终介于Fo与Fm之间,基本未出现超过Fo的下降,仅在暗驰豫初期出现短暂且幅度很小的下降。这些结果表明,衰老叶片存在明显的Fs超淬灭现象,其幅度远大于健康叶片的正常淬灭行为。P700⁺吸收动力学可以看出,光下绿萝衰老叶片低于金鱼吊兰健康叶片,表明其电子传递链处于相对还原状态。


图1 叶绿素荧光与P700⁺诱导动力学及暗驰预曲线。上图为叶绿素荧光信号,红色曲线为绿萝早期衰老叶片,Fv/Fm为0.341,使用60μmol·m⁻²·s⁻¹的光化光测量;黑色曲线为金色吊篮健康叶片,Fv/Fm为0.827,使用750μmol·m⁻²·s⁻¹的光化光测量。两条曲线均以Fo,Fm和Po,Pm进行归一化。下图为同步记录的P700⁺信号。
2. 荧光参数对比
进一步分析荧光参数可揭示超淬灭背后的能量分配特征(图2)。首先,PSII方面,最大光化学效率Fv/Fm和实际光化学效率Y(II)在衰老叶片中显著降低。即便在弱光下,衰老绿萝叶片的Y(II)在照光过程中持续较低,平均值约为0.06±0.03,而金鱼吊兰叶片平均为0.16±0.05,表明前者PSII反应中心的结构与功能均严重受损。尽管Y(II)较低,衰老绿萝叶片的光化学猝灭系数qP和qL却保持较高水平(均值约0.35±0.04),明显高于金鱼吊兰(0.15±0.03),表明衰老叶片PSII反应中心仍维持较高的开放比例。这意味着衰老叶片吸收的光能无法通过正常光化学反应消耗,而是以其他形式耗散。PSI方面,衰老叶片的Y(ND)(供体侧限制)较低,但Y(NA)(受体侧限制)较高,提示受体侧也就是暗反应的电子利用能力可能是衰老叶片光合作用的主要限制因素。
在非光化学淬灭方面,衰老绿萝叶片表现出极高的NPQ和Y(NPQ)。弱光(60 μmol·m⁻²·s⁻¹)照射便能诱导绿萝叶片出现显著NPQ峰值(约2.028),而金鱼吊兰叶片NPQ在强光750 μmol·m⁻²·s⁻¹下才达到类似水平。这表明衰老叶片中的热耗散机制极度活跃,弱光便可高度激活。综合而言,衰老叶片吸收的光能主要通过NPQ强力耗散,而光化学转化大幅削弱。
上述现象表明,绿萝衰老叶片处于一种极度不平衡的能量分配状态:PSII中心大量开放(高qP)但光化学效率低下(低Y(II)),过剩的激发能被迫通过NPQ通路迅速散逸,导致Fs下降到Fo以下。同时,PSI方面衰老叶片的Y(NA)(受体侧限制)升高,暗示PSI受体侧电子传递受阻,这也可能加剧了电子传递链的还原态。总之,绿萝衰老叶片的PSII功能受损,PSI受体侧功能受损更严重,但维持了非光化学淬灭等光保护机制高效运转。实验结果明确了衰老叶片中Fs超淬灭现象与较强的非光化学淬灭和较低的光化学效率密切相关。



讨 论
1. 衰老绿萝叶片Fs超淬灭的特征与特殊性
本研究发现,衰老绿萝叶片的Fs超淬灭具有以下特征:(1)幅度极端(达-Fm水平),远超健康叶片的常规淬灭;(2)对弱光敏感,在60μmolm⁻²s⁻¹光强下即可诱导;(3)伴随NPQ的快速激活与恢复。这些特征与裸子植物的轻度淬灭及健康叶片的光化学淬灭(Flexas et al., 2002)存在本质差异,表明衰老绿萝叶片可能启动了特殊的淬灭机制。
2. 超淬灭现象的潜在机制
(1)非光化学淬灭(NPQ)的异常增强
绿萝衰老叶片的NPQ在弱光下即达强光水平,且Y(NPQ)升高,表明调节性热耗散(如叶黄素循环)过度激活。衰老导致碳同化能力下降,电子传递链受阻使类囊体腔酸化(ΔpH升高),触发紫黄质向玉米黄质转化,增强天线色素的热耗散(Gilmore, 1997)。这与光合能力下降背景下光保护机制代偿性增强的假设一致。
(2)状态转换机制
状态转换作为光合机构平衡光系统Ⅰ(PSI)与光系统Ⅱ(PSⅡ)激发能分配的关键调节机制,可能在衰老叶片的超淬灭中发挥作用。在蓝细菌(如Synechocystis sp. PCC 6803)中,状态转换通过藻胆体(PBS)的移动或与光系统的结合状态改变实现:当PSⅡ激发过剩时,PBS从PSⅡ解离并优先结合PSI(状态2),减少PSⅡ的激发能输入导致Fs降低(Calzadilla & Kirilovsky, 2020;Pfennig et al., 2024)。这种调节依赖质体醌(PQ)库的还原状态——衰老叶片中电子传递链受阻导致PQ过度还原,可能异常激活状态转换,促使更多天线色素与PSI结合,直接降低PSⅡ的荧光产量(Fs)。
本研究中,衰老绿萝叶片的PSI受体侧限制(Y(NA))升高,暗示PSI电子传递受阻,可能反馈增强状态转换向状态2的倾斜。结合蓝细菌的模型(Pfennig et al., 2024),这种倾斜会通过两个途径加剧超淬灭:一是PSⅡ天线色素减少导致基础荧光(Fo)贡献降低;二是PSI结合的天线色素通过非光化学途径(如叶黄素循环协同作用)强化热耗散,使Fs进一步低于Fo。此外,衰老叶片中高qP与低Y(II)的矛盾,可能与状态转换导致的PSⅡ反应中心“空开放”(即开放但无有效光化学转化)相关,这些中心成为激发能淬灭的额外位点,进一步压低荧光信号。
因此,状态转换的异常激活可能是衰老叶片超淬灭的重要补充机制,其与NPQ、P680⁺积累的协同作用,共同导致了Fs的极端下降。
(3)PSⅡ反应中心氧化态(P680⁺)的积累
尽管P680⁺寿命通常较短(微秒级),但衰老叶片中PSⅡ修复机制(如D1蛋白合成)受损,可能导致P680⁺还原受阻、寿命延长(Melis, 1999)。P680⁺作为强淬灭剂,可通过非辐射能量转移压低荧光信号,与衰老绿萝叶片高qP(反应中心开放)但低Y(II)(光化学效率低)的矛盾现象一致——开放的反应中心可能因P680⁺积累而无法有效利用光能。
(4)叶绿体降解产生的新型淬灭剂
衰老伴随叶绿体结构解体,释放游离叶绿素、变性蛋白或膜碎片,这些物质可能形成高效淬灭复合体。例如,游离叶绿素与蛋白的非特异性结合可增强激发能的热耗散(Horton et al., 1996),这可能是绿萝叶片超淬灭幅度极端的关键原因。此外,绿萝叶片Y(NA)升高提示PSI受体侧受限,过剩电子可能引发活性氧积累,进一步加剧光合机构降解与淬灭剂释放。
3. 生理意义:衰老叶片的应急能量卸载策略
衰老叶片在光合能力严重下降(Fv/Fm=0.341)的情况下,通过超淬灭快速卸载过剩光能,可能是避免光损伤的最后防御机制。高qP表明反应中心仍保持开放,但其功能已从光化学转化转向能量耗散,这种功能性冗余可能延长衰老叶片的存活时间,为营养回收争取时间(Lim et al., 2007)。
研究展望
未来研究可从以下几个方面进一步探究衰老叶片超淬灭的本质:首先,需要结合分子遗传和代谢组学手段,明确叶绿体解体过程中释放物质(游离叶绿素、变性蛋白等)对淬灭的贡献。其次,深入研究超淬灭现象的适应价值,比较不同环境条件(光强、温度、干旱等)和不同物种衰老叶片中超淬灭发生的差异,以揭示其生态意义。此外,可应用高时间分辨率叶绿素荧光分析等新技术(如Multi-Color-PAM-II),更精确地表征衰老叶片中非光化学猝灭成分及能量分布的动态变化。最后,应构建数学模型,将光合电子传递、质子流和热耗散等因素整合模拟,以量化各种机制对超淬灭的影响。这些研究有助于系统完善超淬灭的理论框架,指导作物栽培中管理衰老叶片光环境,从而提高作物抗逆性和光合效率。
结 论
本研究在衰老绿萝叶片和金鱼吊兰健康叶片中比较发现:衰老叶片在照光诱导下Fs迅速降低并远低于Fo,表现为明显的超淬灭现象。衰老叶片同步伴有NPQ异常增强、PSII光化学效率下降、反应中心高开放和PSI受体侧限制升高等特征。推测超淬灭现象主要源于衰老过程中叶绿体光合机构功能退化和保护机制的共同作用:一方面强烈的叶黄素循环驱动NPQ将大量光能耗散(高qE),结合状态转换机制的过度激活减少了PSII激发能的输入,另一方面PSII中心P680⁺积累和叶绿体降解产物的出现提供了新型淬灭途径。这一现象可能代表衰老叶片在光合能力衰退背景下的紧急能量卸载策略,有助于避免光损伤并延缓叶片衰亡。总之,叶绿素荧光超淬灭可能是衰老叶片光合机构退化与保护性调控共同作用的结果,未来应进一步结合分子层面探究其具体机制及生态意义。
参考文献
郭峰:上海泽泉科技股份有限公司,feng.guo@zealquest.com

