在全球气候变暖的大背景下,极端高温正成为威胁农作物产量的关键因素。与此同时,寻找可持续的化石燃料替代品迫在眉睫,高含油量(HLP)烟草因能将30%干重转化为三酰甘油(TAG,生物燃料的核心成分),被视为极具潜力的新一代生物燃料作物。然而,这种经过基因工程改造的 “产油能手”,在高温环境中的抗逆能力却一直是个谜:它能否在高温下维持稳定的油脂产量?其独特的油脂积累特性又会如何影响应对高温胁迫的机制?2025年发表在The Plant Journal的一项研究,首次系统揭示了HLP烟草的高温响应规律,为生物燃料作物的抗逆改良提供了全新视角。

联合国政府间气候变化专门委员会2014年发布的评估报告显示,全球气温预计到2100年将上升0.3-4.8℃,高温会破坏植物细胞膜稳定性、抑制光合作用,甚至导致细胞死亡。对于油用作物而言,高温不仅影响生长,还可能直接降低油脂产量,毕竟油脂合成需要大量碳源,而高温恰恰会削弱植物的碳同化能力。它能在叶片叶肉细胞中大量积累TAG,油脂含量是野生型(WT)烟草的300倍。但此前研究发现,HLP烟草已存在淀粉含量降低、碳同化效率下降的 “副作用”,其在高温下的表现更令人担忧:一方面,油脂可能作为 “保护剂”,帮助植物稳定细胞膜或储存有毒代谢中间产物;另一方面,过量油脂也可能抢占膜修复所需的脂质资源,加剧高温损伤。这种 “双刃剑” 效应,让HLP烟草的高温响应成为亟待解开的科学问题。
为全面评估HLP烟草的高温适应性,研究团队设计了 “表型-生理-分子” 三层实验体系,以WT烟草为对照,重点对比两种温度条件下(对照:28℃白天/18℃夜间;高温:38-42℃白天/28-32℃夜间)的差异:
表型监测:用红外热成像仪连续48小时记录叶片温度,结合叶片热分布;通过硅橡胶印模法观察气孔数量与孔径,量化气孔形态差异。
生理测定:用光合仪测量气孔导度、CO₂同化速率和蒸腾速率;用逆境模拟及植物生长监测系统PlantArray(以色列Plant-Ditech)监测7天内植物总蒸腾量及生物量变化;通过荧光成像分析光合效率相关指标(Fv/Fm、Fq'/Fm'、NPQ)。
分子与细胞观察:用共聚焦显微镜观察保卫细胞中油脂分布;通过气相色谱测定总脂肪酸及极性(膜脂)、中性(储存脂)组分含量;用透射电镜观察叶绿体结构变化。
叶片温度升高:气孔导度降低是 “元凶”
红外热成像显示,HLP烟草的叶片温度在两种条件下均显著高于WT,高温下差距更达1.5℃。进一步研究发现,这一现象源于HLP的 “气孔缺陷”:其气孔孔径和单位叶面积气孔数均显著减少,导致气孔导度仅为WT的70%-80%。

高含油量(HLP)烟草的叶片温度高于野生型(WT)。
共聚焦显微镜观察揭示了关键原因:HLP保卫细胞中存在大量球形油脂滴,而WT保卫细胞仅含少量油脂,且油脂未 “堵塞” 气孔。研究推测,过量油脂可能通过两种方式抑制气孔开放:一是物理阻碍保卫细胞形变,二是减少TAG分解,导致保卫细胞缺乏能量(ATP)驱动气孔张开。

高含油量(HLP)烟草的气孔开度较小,每片叶子上的气孔数量也比野生型少。
光合与蒸腾 “双降”:碳源不足加剧油脂减产
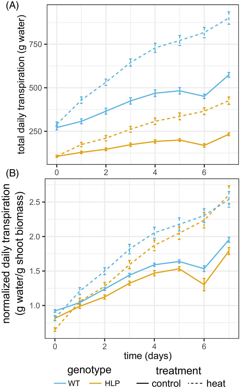
气孔导度降低直接引发连锁反应:HLP的CO₂同化速率显著低于WT,且CO₂补偿点更高,说明其利用低浓度CO₂的能力更弱。同时,HLP的总蒸腾量和归一化蒸腾量(每克地上部生物量的蒸腾量)均显著低于WT,且高温下响应更慢:WT在高温第1天即显著增加蒸腾,HLP则延迟至第2天。

HLP的同化速率低于WT。在二氧化碳浓度控制条件下的A/Ci曲线。

HLP的蒸腾量低于野生型(WT)。使用PlantArray测定早上和晚上的总盆重变化,每日总蒸腾量。
更关键的是,高温对HLP油脂产量的打击远超预期:7天高温处理后,HLP总脂肪酸含量下降54.6%,且减少的几乎全是中性脂(储存脂),极性脂(膜脂)含量基本不变。而WT的油脂总量和组成受高温影响极小,仅膜脂中多不饱和脂肪酸略有下降。这是植物应对高温的经典机制,通过减少不饱和脂肪酸维持膜稳定性。
光合效率 “先抑后扬”:独特的应激调节模式
尽管HLP的基础光合效率(Fv/Fm)与WT无显著差异,但高温下的响应更 “剧烈”:高温第1天,HLP的光合系统II运行效率(Fq'/Fm')下降15%,非光化学淬灭(NPQ,反映光能耗散能力)上升64%,而WT仅分别变化7%和32%。但HLP的恢复速度更快,第6天Fq'/Fm' 和NPQ即恢复至对照水平,WT则持续低于对照。

HLP在热胁迫下的NPQ相比WT有所增加。(A)光系统II的最大光合效率;(B)光系统II的实际光合效率;(C)非光化学猝灭;(D)叶绿素指数;(E)花青素指数。
TEM观察发现,对照条件下HLP的叶绿体、淀粉粒和质体小球(plastoglobule)更大,但高温下HLP叶绿体面积和质体球数量显著减少,而WT仅淀粉粒减少。这种结构差异可能是HLP光合效率 “先降后升” 的原因:初期油脂和叶绿体结构变化加剧光损伤,后期通过快速调整脂类代谢恢复功能。

HLP在气孔保卫细胞中出现过多的油滴。
HLP烟草的高温响应是基因工程作物与环境互作的典型案例:过量叶片油脂通过抑制气孔开放,导致叶片升温、光合下降,最终加剧高温下的油脂减产,但同时也赋予其更快的光合恢复能力。这一发现既揭示了 “产油” 与 “抗逆” 之间的权衡关系,也为后续改良指明了方向:通过精准调控油脂在保卫细胞中的积累,或增强高温下油脂合成的碳源供给,有望培育出 “高油且耐热” 的新一代生物燃料作物。

电话:021-32555118,邮箱:sales@zealquest.com
